入門指引
更新時間 2023-07-03 21:27:11
最近更新時間: 2023-07-03 21:27:11
分享文章
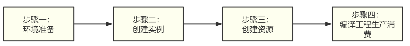
本章節將為您介紹分布式消息服務RabbitMQ入門的基本流程,主要包括環境準備、創建資源、編譯工程生產消費等環節,幫助您快速上手RabbitMQ。
操作流程

步驟說明
1、 環境準備
創建RabbitMQ實例先要準備好虛擬私有云、子網和安全組,可選彈性公網IP。
2、 創建實例
在訂購分布式消息RabbitMQ填寫和確認實例名稱、引擎類型、計費模式等信息,確認費用后點擊下一步,等待開通流程結果通知成功后完成創建實例。
3、 創建資源
一個新的應用接入消息隊列需要先創建相關資源,包括:Vhost、User、Exchange、Queue。
4、 編譯工程生產消費
以上工作完成后,在客戶端應用編譯工程進行生產消費,包括引入依賴、綁定BindingKey、生產消息和消費消息。